The solar corona and solar wind are turbulent plasma environments where energy transfer from large-scale magnetohydrodynamic (MHD) fluctuations to smaller kinetic scales is thought to play a critical role in coronal heating and solar wind acceleration. Despite decades of research, the properties of turbulence at ion scales, where dissipation occurs, remain poorly constrained due to limited observational data. Moreover, the precise mechanisms that heat the corona, and accelerate and heat the solar wind, remain largely open questions (e.g., De Moortel & Browning 2015; Kiyani et al. 2015; Smith & Vasquez 2024).
Both in-situ spacecraft measurements and remote sensing techniques provide complementary insights $>10 R_\odot$, but direct measurements close to the Sun ($<10 R_\odot$,) are unavailable. Solar radio bursts, particularly type III bursts, offer a unique probe of density fluctuations, providing constraints on turbulence properties from the low corona to 1 au.
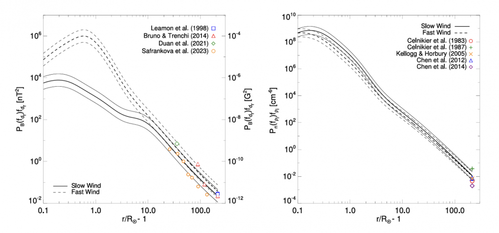
The recent paper by Kontar et al 2025 finds that the magnetic fluctuations observed by Parker Solar Probe in situ and density fluctuation amplitudes obtained from radio measurements are consistent with excitation by kinetic Alfvén waves (KAWs) and/or KAW structures over a broad range of distances from the Sun. Using radio diagnostics and the KAW scenario to deduce the radial variation of magnetic fluctuation amplitudes in regions close to the Sun where in situ measurements cannot be obtained (Figure 1).

Figure 1: Left: Magnetic fluctuations $P_B\left(f_{d_r}\right) f_{d_r}$ at the break and the predicted magnitude from radio-inferred density fluctuations. The solid and dashed lines show the expected values from kinetic Alfvén waves, for the slow and fast solar wind parameters given in the Appendix, and the plus and diamond symbols are based on measurements by Parker Solar Probe. The bands represent a scaling factor from 0.5 to 2 that accounts for the spread in measurements of density fluctuations. Right: Density fluctuations $P_n\left(f_{\rho_i}\right) f_{\rho_i}$ at the break and the data at 1 au as shown in Figure 3 of Kontar et al. (2025).
Using this result, we have estimated the turbulence energy cascade rate near ion scales (where the wave spectrum transitions from inertial to kinetic scales), and we find that the rate is very similar to the energy transfer rate obtained in the solar wind at larger inertial scales from in-situ measurements. The radio-inferred heating rate decreases with distance quantitatively similar to in-situ measurements reported in the literature (Figure 2).

Figure 2. Energy cascade rate using two models of the corona: an equatorial active region with slow solar wind (solid lines), and a coronal hole with fast solar wind (dashed lines). The bands represent a scaling factor ranging between 0.5 and 2 as in Figure1. The overplotted data are from in situ measurements. For details see Kontar et al 2025.
Summary
We present a novel approach that combines radio diagnostics of density fluctuations with
in-situ measurements of magnetic turbulence to probe ion-scale turbulence amplitude from the low corona to 1 au. By linking these observations to the MHD turbulent cascade, we infer the radial evolution of magnetic fluctuation amplitudes and compute the associated energy cascade rate in regions inaccessible to spacecraft measurements. Our results reveal a consistent picture of turbulence-driven heating across three orders of magnitude in heliocentric distance, offering new insights into the fundamental processes powering the solar atmosphere and wind.
Based on the recent paper by Kontar, E.P., Emslie, A.G. Clarkson, D.L. and Pitňa, A. The Astrophysical Journal Letters, 991 L57 (2025) doi: 10.3847/2041-8213/ae09b0
References
De Moortel & Browning, 2015, Ph Roy. Soc. Phil. Trans. A, 373, 20140269;
Kiyani et al. 2015, Ph Roy. Soc. Phil. Trans. A, 373, 20140155;
Kontar, et al, 2025, ApJ Letters, 991 L57
Smith & Vasquez, 2024 Frontiers in Astr and Space Sciences, 11, 1371058