Solar flares, among the most intense explosive phenomena in the solar atmosphere, release vast amounts of energy in a short period, resulting in enhanced electromagnetic radiation across multiple bands. These events pose significant threats to Earth’s space environment and human activities in space. High-energy electrons accelerated during flares emit millimeter-wave radiation through gyrosynchrotron radiation, providing unique insights into the underlying magnetic fields and energy release processes (Fleishman et al 2018). However, observational data in the millimeter-wave range, particularly above 20 GHz, have been severely lacking. To address this gap, a research team from the Institute of Space Sciences at Shandong University has successfully developed a 50–55 GHz millimeter-wave radiometer spectrometer for solar flare detection, supplementing the relevant frequency band blank data.

Figure 1: The 50–55 GHz millimeter–wave radiometer spectrometer for solar flare detection is installed at an altitude of 4200 meters.
Millimeter-wave radiation emitted during solar flares is highly efficient and sensitive to high-energy electrons. This radiation not only reveals information about the accelerated electrons but also provides unique insights into the magnetic field structures and energy release processes during flares. Traditional solar radio instruments mainly operate below 18 GHz, with limited data available above this frequency range. This gap has hindered a comprehensive understanding of high-energy electron acceleration and magnetic reconnection processes in solar flares. The new 50–55 GHz radiometer spectrometer aims to fill this observational void, offering unprecedented data for studying solar flares in the millimeter-wave range.
Developed by the Institute of Space Sciences at Shandong University, the 50–55 GHz millimeter-wave radiometer spectrometer began regular observations in October 2024. The system features several innovative designs and technical advantages: High Sensitivity and Dynamic Range: Equipped with a 50 cm diameter Cassegrain antenna, the system has a noise figure of less than 2.5 dB and a dynamic range exceeding 30 dB. It can detect both quiet solar signals and intense flare bursts with high precision. High Time Resolution: The system achieves a time resolution of 0.001–1 second, allowing it to capture rapid changes during solar flares and provide detailed temporal information for flare studies. Direct Detection Scheme: Unlike traditional superheterodyne receivers, this system employs a direct detection method, eliminating nonlinear effects and analog-device-induced noise(Chang et al. 2024). This design enhances the system’s dynamic range and prevents signal saturation during intense flare events. Multichannel Parallel Acquisition: The system features a custom-designed 4-channel parallel acquisition digital receiver with 32-bit resolution. This design ensures high sensitivity and enables the detection of weaker flare bursts, providing more comprehensive data for solar flare research.

Figure 2: Detailed architecture and signal routing of the system. It includes four parts: antenna–feeder subsystem, analog front–end subsystem, digital receiver subsystem, and upper computer subsystem. Presented the design schemes of analog and digital receivers, as well as the data processing work carried out within the field–programmable gate array.
In December 2024, the system successfully captured the world’s first solar flare data in the 50 GHz band, recording an X1.5-class flare event. The data revealed radiation intensity and polarization characteristics in this frequency range, demonstrating the system’s capability to observe high-energy electron emissions during flares. The observed flare exhibited a peak flux density of approximately 450 SFU at 50.5–51.5 GHz, consistent with typical negative optically thin spectra. This achievement not only fills the observational gap in the millimeter-wave range but also provides crucial data for establishing solar radiation models in this frequency band.

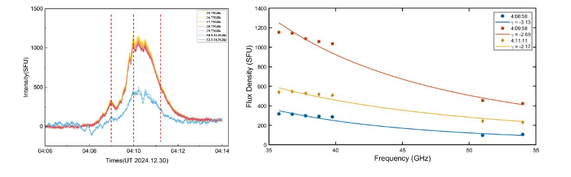
Figure 3:The observation results of the solar flare on December 30, 2024 are displayed. And the spectral index map obtained from observations at 35–54 GHz shows a significant evolution of soft–hard–harder during flares.
The spectral indices derived from the flare data showed a “soft–hard–harder” pattern during the gradual, peak, and decay phases of the burst. This evolution suggests an accumulation of higher-energy electrons in the flare loops, a common feature in solar flares. The consistency between the new system’s data and those from other instruments (such as the Chashan Broadband Solar millimeter spectrometer, CBSmm(Shang et al. 2022) confirms the reliability of the calibration scheme and lays the foundation for future detailed calibration and data analysis.
Based on a recently published article: Xu, Z. Zhao, Q. Liu, Q. Li, Z. Wu, G. Lu, Y. Su, Y. Chen, and F. Yan, A 50–55 GHz Millimeter-wave Radiometer Spectrometer for Solar Flare Detection, ApJS 279(1), 29 (2025), DOI: 10.3847/1538-4365/ade0b5
References:
Fleishman, G. D., Nita, G. M., Kuroda, N., et al. 2018, 301, ApJ, 859, 17
Chang, B. Wang, G. Lu, et al., 2024, ApJS, 272, 21
Shang,K. Xu,Y. Liu, et al., 2022,ApJS, 258,25