The phenomenon of differential rotation in the Sun, described by Eq.1 where A is the equatorial rotation rate, A and C are latitudinal gradients and $\theta$ is latitude, is a cornerstone of solar dynamo theory. While helioseismology and feature tracking in optical and EUV wavelengths have helped map this profile at the surface and in the deep interior, ambiguity remains in the higher layers of the solar atmosphere, largely due to uncertainties in the height of emission from temperature-sensitive EUV tracers.
\[\Omega= A + B\sin^2{\theta} + C \sin^4{\theta}\] (Eq.1)
The recent study Routh et al. (2025) harness a tracer independent image correlation approach using radio images at 17 GHz from the Nobeyama Radioheliograph (NoRH), which sample a relatively well-defined height in the upper chromosphere (~3000 ± 500 km), to analyze the differential rotation of the solar atmosphere at the same height and compare with EUV and white-light-based observations. Radio diagnostics at this frequency primarily arise from thermal bremsstrahlung, making them far less sensitive to temperature variations compared to EUV channels (Zirin 1988).
Data and analysis

Figure 1: A set of images on (a) 7th March, 2014 and (b) 8th March, 2014 from the Nobeyama dataset after the conversion to Stonyhurst heliographic coordinates. B1 and B2 depict the bins on which image correlation is applied. The bins T1 and T2 depict the dominant bright features in the same bins that are majorly contributing to the correlation as demonstrated by adaptive intensity thresholding.
We use 28 years of daily full-disc 17 GHz radio images (1992–2020) and apply a tracer-independent, automated image-correlation technique. By dividing each solar image into overlapping latitudinal bins (15$^{\circ}$ wide) and maximizing 2D cross-correlation of temporally separated segments (B1 and B2 in Fig. 1), the method determines sidereal rotation rates without relying on visible features such as sunspots or plages. Importantly, the method performs well even during solar minimum, when features are sparse. This makes it a powerful tool for robust, long-term tracking of large-scale flow patterns in the chromosphere.
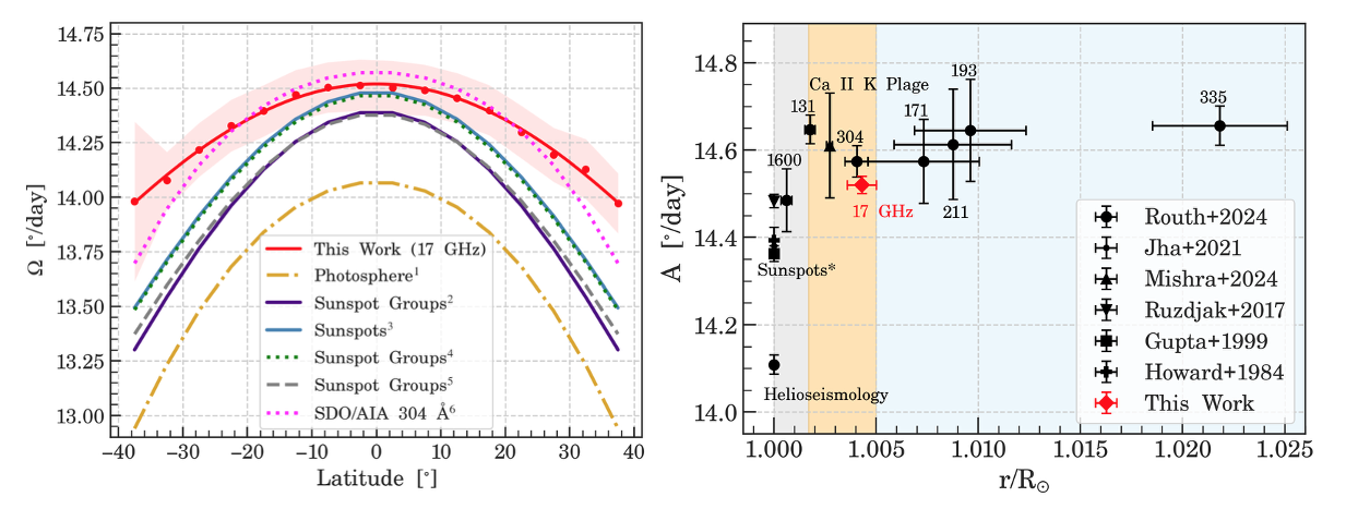
Upon comparing the rotational profile of the solar chromosphere with that obtained for sunspots and the photospheric plasma, we find a much faster rotation rates at all latitudes and also comparatively less differential nature is evident in their rotation (Fig. 2; Left Panel). Previously, an increasing trend in the equatorial rotation rates had been studied by Routh et al. (2024) and the current results conform with the said trend (Fig. 2; Right Panel).

Figure 2 : The rotational profile for 17 GHz as compared with values from when compared with the rotational profiles from 1Snodgrass (1983, 1984), 2Howard et al. (1984), 3Poljanˇci´c Beljan et al. (2017), 4Ruždjak et al. (2017), 5Jha et al. (2021) and 6 Routh et al. (2024).
A weak negative correlation of the equatorial rotation rate (A) is also found with solar activity (Fig. 3), further agreeing with the fact that the differential rotation might undergo a phenomenon known as magnetic braking when solar activity increases.

Figure 4: Correlation plot of equatorial rotation rate (A; in red) and latitudinal gradient (B; in blue) with the yearly sunspot number and their error estimate in the y and x directions, respectively.
Conclusions
Our findings reaffirm the potential of radio observations to probe the dynamics of the solar chromosphere with reduced height ambiguity. The overlap of the equatorial rotation rate (A) found in this study with that for 304 \AA in the EUV regime lends additional support to the view that the equatorial rotation rates increase with height above the photosphere. Future coordinated studies at wavelengths with better-constrained height formation will be crucial for further understanding the complex dynamics of the solar atmosphere.
Additional info
Based on the recent study by Routh, S., “Insights into chromospheric large-scale flows using Nobeyama 17 GHz radio observations: I. The differential rotation profile”, Astronomy and Astrophysics Letters, vol. 700, Art. no. L3, 2025. doi:10.1051/0004-6361/202555364
The codes for extraction of bright regions and the image correlation can be found here :
https://github.com/srinjana-routh/Bright-Regions-Nobeyama, https://github.com/srinjana-routh/Image-Correlation
References
Poljanˇci´c Beljan, I., Jurdana-Šepi´c, R., Brajša, R., et al. 2017, Astronomy & Astrophysics, 606, A72
Routh, S., et. al, “Exploring the Dynamic Rotational Profile of the Hotter Solar Atmosphere: A Multi-wavelength Approach Using SDO/AIA Data”, The Astrophysical Journal, vol. 975, 158, IOP, 2024