Index of /users/reem/waveform_IMRPhenomC/


../
test_IMRphenom/                                    19-Mar-2026 06:44                   -
test_SEO/                                          19-Mar-2026 06:44                   -
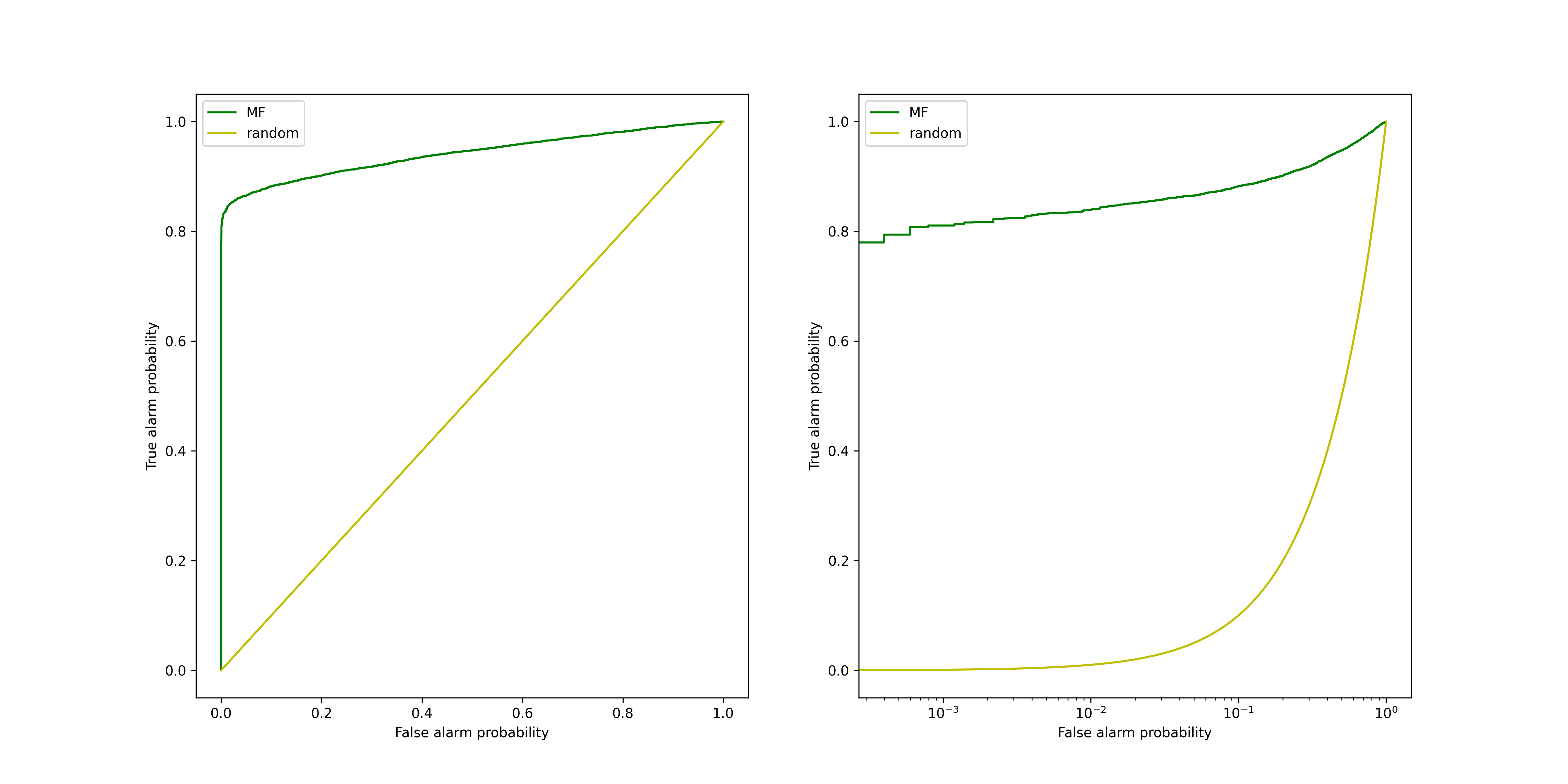
MF_20K_newROC__IMRPhenomC.png                      07-May-2024 12:56              200531
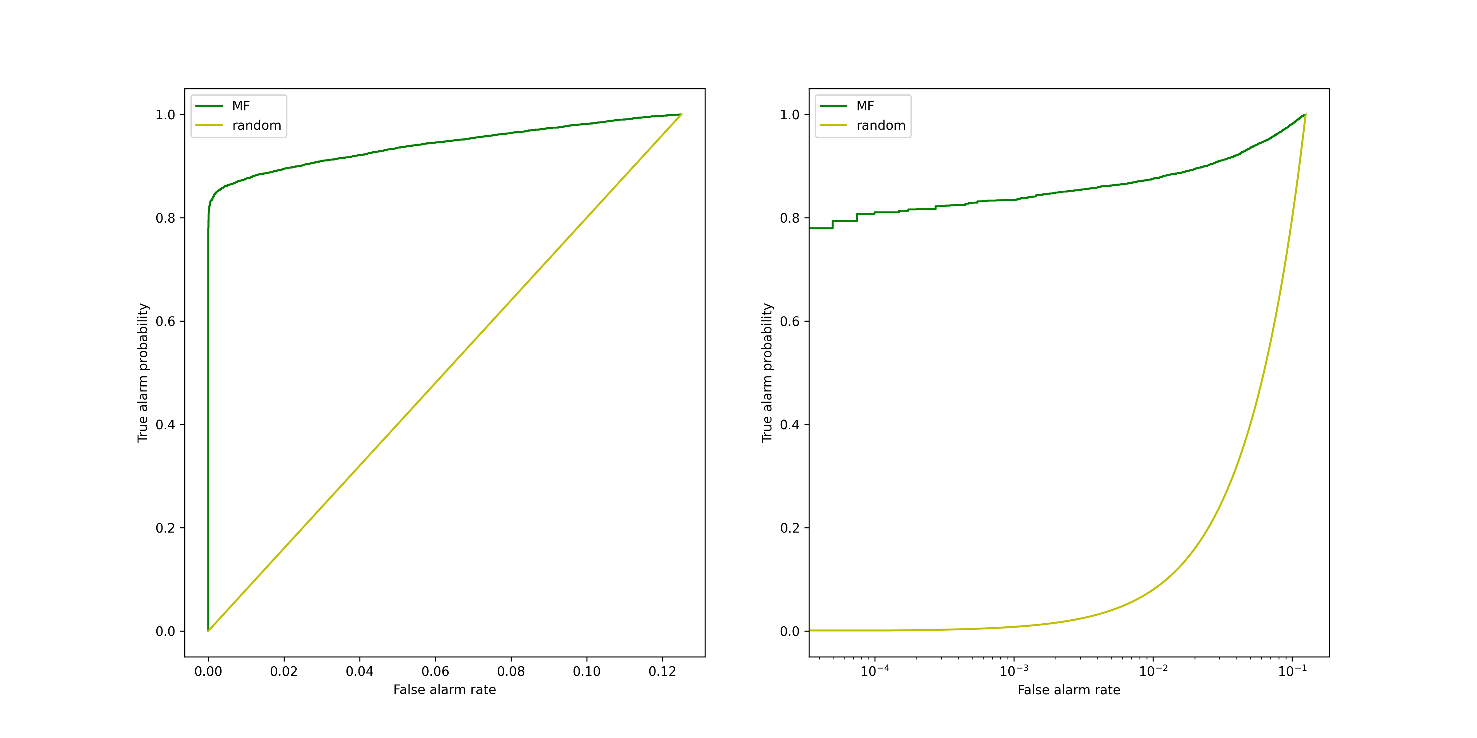
MF_20K_rate_IMRPhenomC.png                         07-May-2024 12:56              200893
MF_Opt_snr___20K__IMRPhenomC.png                   07-May-2024 12:56              352991
MF_Opt_snr__signal_20K___IMRPhenomC.png            07-May-2024 12:56              352991
Template_noise_16963.png                           07-May-2024 12:49               17284
Template_noise_16964.png                           07-May-2024 12:49               17284
_signal_check_signla_16794.png                     07-May-2024 12:48              190223
_signal_check_signla_18982.png                     07-May-2024 12:54              185187
matched_noise 16963.png                            07-May-2024 12:49              103958
matched_noise 16964.png                            07-May-2024 12:49              103958
signal+noise+MF_______check16963.png               07-May-2024 12:49              107033
signal+noise+MF_______check16964.png               07-May-2024 12:49              107033