Index of /users/reem/2028/TEST_FAST_RESULTS_BNS4/


../
DIST_dt_vs_rhodet_colored_by_mc.png                03-Mar-2026 01:55              678239
DIST_dt_vs_rhodet_colored_by_mc_thesis.png         03-Mar-2026 02:21             1284423
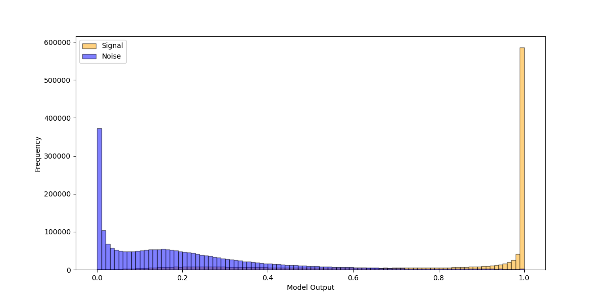
improved_lstm_probabilities_histogram__56_.png     03-Mar-2026 02:15              175545
lstm_predicted_probabilities_histogram_40steps_..> 03-Mar-2026 02:15              142540
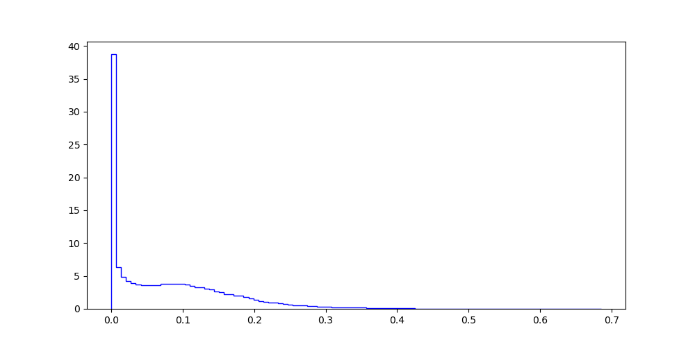
mean_noise_.png                                    03-Mar-2026 02:15               10793
mean_with_error_bars.png                           03-Mar-2026 02:15               23668
noise_stat_.png                                    03-Mar-2026 02:15               20449
output___LSTM__.png                                03-Mar-2026 02:17               24754
signal_check____new.png                            03-Mar-2026 02:15               19734
signal_check_dual_axis_density.png                 03-Mar-2026 02:15              136988
signal_noise_.png                                  03-Mar-2026 02:17               20180