Index of /users/michael/nessai-tests/general-tests/conditional_flows/conditional_rosenbrock_test/


../
diagnostics/                                       11-Feb-2021 10:06                   -
proposal/                                          11-Feb-2021 10:06                   -
config.json                                        11-Feb-2021 10:04                 793
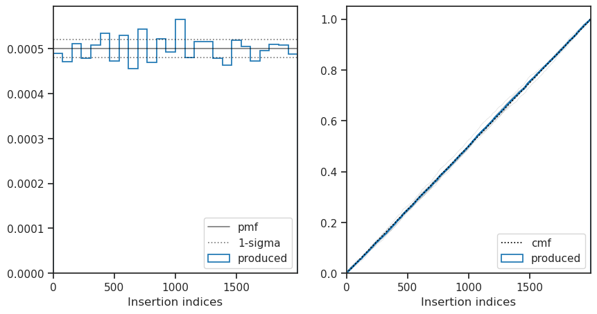
insertion_indices.png                              11-Feb-2021 10:06               40413
likelihood_evaluations.png                         11-Feb-2021 10:06               21593
logXlogL.png                                       11-Feb-2021 10:06               26582
nessai.log                                         11-Feb-2021 10:06             2135095
nested_sampler_resume.pkl                          11-Feb-2021 10:06             2915493
nested_sampler_resume.pkl.old                      11-Feb-2021 10:06             2915479
posterior_distribution.png                         11-Feb-2021 10:06               63136
result.json                                        11-Feb-2021 10:06             3238276
state.png                                          11-Feb-2021 10:06              160057
trace.png                                          11-Feb-2021 10:06               24531