Index of /users/michael/nessai-tests/cbc-pe/comparison/new_baseline_fixed_nessai/proposal/training/block_3/


../
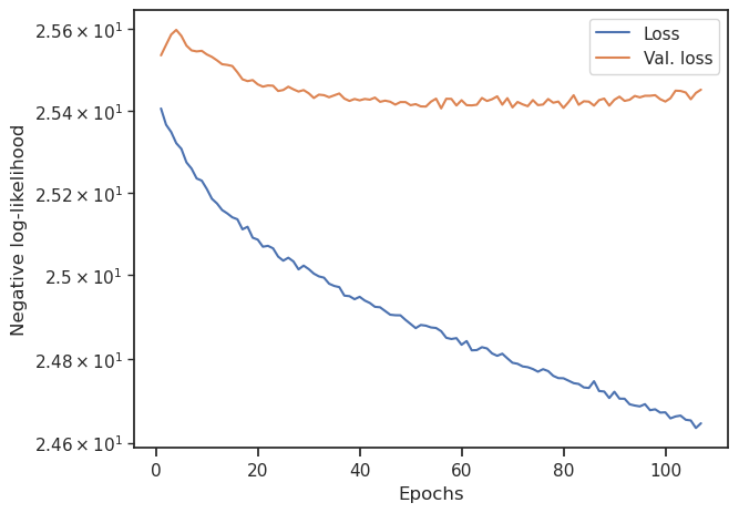
loss.png                                           09-Mar-2021 14:03               40136
model.pt                                           09-Mar-2021 14:03              113609
radial_dist.png                                    09-Mar-2021 14:03               12969
x_comparison.png                                   09-Mar-2021 14:03              133442
x_prime_comparison.png                             09-Mar-2021 14:03              231513
z_comparison.png                                   09-Mar-2021 14:03              216703