Index of /users/michael/nessai-tests/cbc-pe/baselines/with_distance_marg_flowproposal/proposal/training/block_63/


../
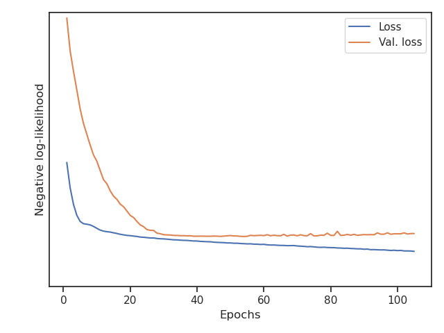
loss.png                                           04-Nov-2020 22:32               25593
model.pt                                           04-Nov-2020 22:32              399203
x_comparison.png                                   04-Nov-2020 22:33              116011
x_prime_comparison.png                             04-Nov-2020 22:33              212951
z_comparison.png                                   04-Nov-2020 22:32              199385