Index of /users/michael/flowproposal-tests/cbc-pe/flowproposal/all_extrinsic/HLV_flowproposal/proposal/training/block_14/


../
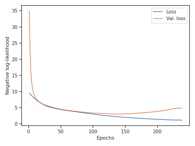
loss.png                                           09-Jul-2020 15:56               26971
model.pt                                           09-Jul-2020 15:56             1098510
x_generated.png                                    09-Jul-2020 15:57             1439136
x_prime_generated.png                              09-Jul-2020 15:57             1033325
x_prime_samples.png                                09-Jul-2020 15:56             1366117
x_samples.png                                      09-Jul-2020 15:56              786939