Index of /users/chrism/newcos/outdir/NIOBIUM_ZN_1_2/


../
NIOBIUM_ZN_1_2_0/                                  18-Apr-2026 09:26                   -
NIOBIUM_ZN_1_2_1/                                  18-Apr-2026 14:04                   -
NIOBIUM_ZN_1_2_2/                                  18-Apr-2026 13:37                   -
NIOBIUM_ZN_1_2_3/                                  18-Apr-2026 13:16                   -
NIOBIUM_ZN_1_2_4/                                  18-Apr-2026 11:49                   -
NIOBIUM_ZN_1_2_5/                                  18-Apr-2026 12:29                   -
NIOBIUM_ZN_1_2_6/                                  18-Apr-2026 13:00                   -
NIOBIUM_ZN_1_2_7/                                  18-Apr-2026 17:59                   -
NIOBIUM_ZN_1_2_8/                                  18-Apr-2026 17:25                   -
NIOBIUM_ZN_1_2_9/                                  18-Apr-2026 12:58                   -
combined_H0_CE.txt                                 19-Apr-2026 22:30               50029
combined_H0_CE_cache.npz                           19-Apr-2026 22:30               81057
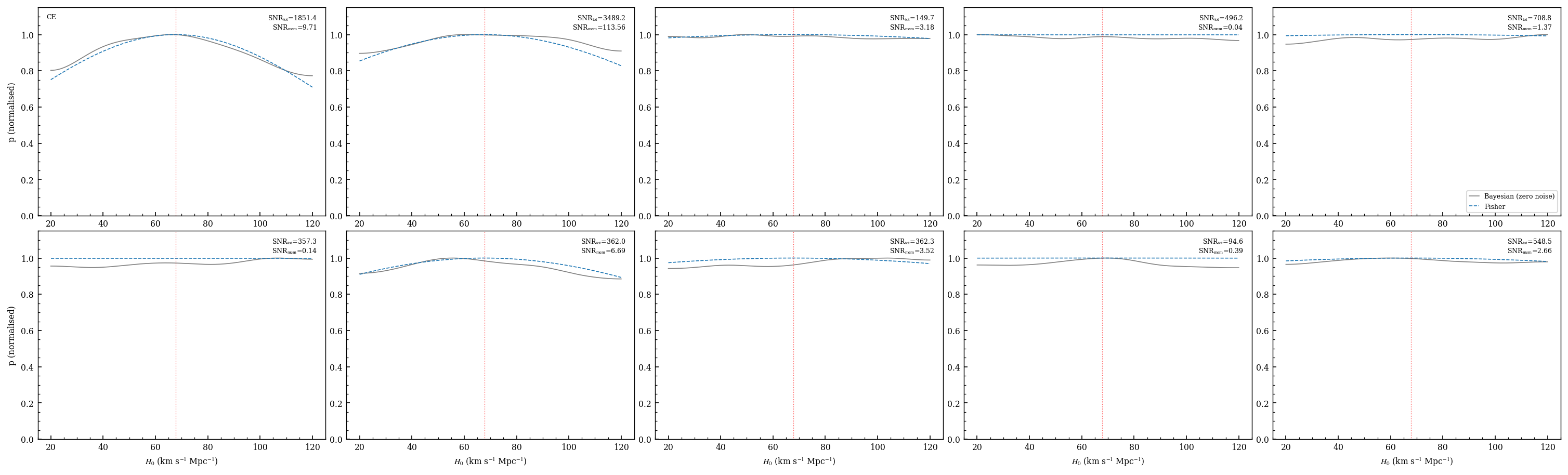
combined_H0_every_event.png                        19-Apr-2026 22:30              133675
combined_H0_panels.pdf                             19-Apr-2026 22:30               38685